
Research Group of Prof. Dr. Milada M. Mühlleitner
Higgs at the Origins of Matter
|
The discovery of the Higgs boson marked a milestone for particle physics. It induced a paradigm shift for the role of this particle by promoting it to be the crucial tool in our search for answers to the open questions of the Standard Model. The most prominent ones are the nature of Dark Matter and why there is more matter than antimatter in the Universe. The Higgs boson which is responsible for the generation of particle masses plays a decisive role in the evolution of our universe and may provide a portal to the dark sector. The precise investigation of the properties of the allrounder Higgs boson and the probe of the texture of the Higgs sector will give us deep insights in the true theory underlying nature. In my research group, we investigate the Higgs boson at highest precision combining information from collider physics, astroparticle physics and cosmology.
|
|
The Mystery of the Matter-Antimatter Asymmetry
|
|
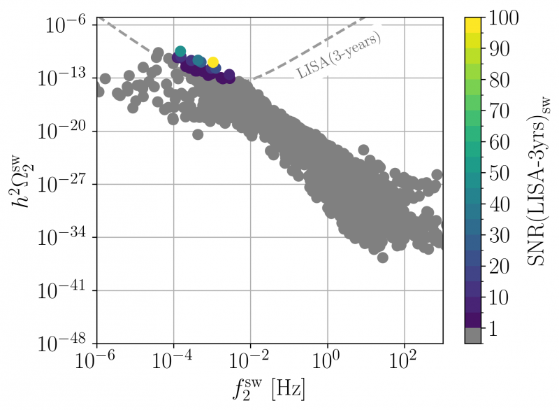
We owe our existence the observation of a minimal asymmetry between matter and antimatter, which would otherwise annihilate totally into electromagnetic radiation. Within the standard model of cosmology which starts out its destiny from a singularity, the infamous big bang, we cannot understand the generation and persistence of such an asymmetry. A mechanism that dynamically generates the baryon asymmetry of the universe (BAU) is given by electroweak baryogenesis. Here, the phase transition of the universe from a symmetric state with a zero Higgs vacuum expectation value where all particles are massless, into the broken state with a non-zero vacuum expectation value that implies massive particles, is accompanied by the generation of a matter-antimatter asymmetry. For this to be successful, not only the so-called Sakharov conditions have to be fulfiled, but the phase transition also has to be of strong first order. The Standard Model Higgs sector is phenomenologically not compatible with these requirements, so that extended Higgs sectors of new physics models have to be considered. |
|
Interestingly, such strong first-order electroweak phase transitions generate a stochastic gravitational waves background, that can be tested by future space-based gravitational waves observatories. These cosmological echos of the vacuum history of the universe will give us insights in the origins of matter and be signs of physics beyond the Standard Model. In our research we investigate well-motived new physics models with respect to their capability of explaining the matter-antimatter puzzle and their consequences for the evolution of the universe as well as their testability at collider and gravitational waves experiments. |
|
The Dark Matter Puzzle
|
Numerous astrophysical and cosmological observations point towards the existence of Dark Matter. This non-luminous form of matter interacts only gravitationally. To date, we do not know what is the nature of Dark Matter. It can be wave-like or particle like, it can be ultra-light or ultra-heavy, maybe even a primordial black hole. If it is a particle, then mit must be electrically neutral and weakly interacting. Possible candidates are so-called WIMPs, weakly interacting massive particle. The Higgs boson may be a portal to Dark Matter that allows us to probe this mysterious kind of matter, which makes up for roughly 23% of the matter/energy density of the universe. The predicted Dark Matter candidate not only has to respect constraints from collider searches, but it must also be compatible with the measured relic density and constraints from direct detection experiments. Depending on whether or not in equilibrium with the thermal bath of the early universe, Dark Matter can be generated through freeze-out or freeze-in processes with dramatic consequences for its properties as of today. We provide precision calculations for Dark Matter observables and analyze different Dark Matter scenarios in view of all relevant particle, astroparticle and cosmological constraints. |
|
Collider Probes of New Physics
|
Motivated by our desire to understand nature and to answer the open questions of the Standard Model we investigate new physics models that solve some or all of the open puzzles. They often come with an extended Higgs sector that contains more than one Higgs boson. Requiring the models to successfully generate the matter-antimatter asymmetry and or reproduce the Dark Matter relic density and direct detection constraints, we derive the consequences for collider observables and how they can be tested at present and future colliders like the Large Hadron Collider (LHC), the high-luminosity LHC or future e+e- Higgs factories. A particularly exciting process is the pair production of Higgs bosons that give access to the Higgs self-interaction. Out of all Higgs properties, this is the least constrained Higgs couplings and leaves ample room for beyond-Standard Model effects that may give us deep insights in the true theory underlying nature. |
|
We perform precision calculations for Higgs observables (Higgs pair production, Higgs parameters), we provide observable and signatures to be tested at colliders that teach us about the new physics landscape, we perform model building adapted to solve the open Standard Model problems.
|
|
Machine Learning
|
|
The new physics models come with a wealth of new input parameters, that are intertwined in a complex way with the observables to be tested. To get a broad overview of the new physics landscape, often extensive scans are required that are computationally expensive. Moreover, the precision calculations rely on lengthy numerical solutions. We apply machine learning techniques to speed up the scans and calculations, to focus on the relevant parameter regions, to extract the underlying parameters from the variety of available observables. They may even guide our way in future model building. |
Link to Programs
All our calculations of Higgs precision observables are made publicly available to the research community by implementing them in public computer tools. The links to the various computer tools together with their description, their download and information on how to use the programs can be found at:
Information on Bachelor and Master Theses
The subjects of Bachelor and Master Theses are centered around the research program of the working group. The students will be directly involved in the ongoing activities with the aim to actively contribute. The students will get to know the state-of-the-art calculational techniques and tools, will learn about the currently studied new physics models and will contribute within the given research topics to colliders or DM observables that can be studied at the ongoing experiments. The subjects will be adapted to the level that can be expected from students at the Bachelor or Master stage. The students at the Master level ideally have already attended lectures on theoretical particle physics. The students will be embedded in an active and lively research environment and learn from the professor, postdoctoral, doctoral and master students the state-of-the-art techniques and how to handle the typically used computer tools comprising e.g. FeynArts, FeynCalc, FormCalc, LoopTools etc. There will be weekly working group meetings and regular meetings with the professor. The students will get insights in the work of a researcher in high-energy physics and contribute with their work to the ongoing research activities. This will be beneficial for a possible future research career as well as for employment in the private sector. Additionally, once a year the whole working group makes a research stay in Lisbon where we have a close collaboration with the local research groups around Prof. Santos and Prof. Ferreira. Students from the Master level on have the possibility to participate. This research stay additionally allows to get to know an international research environment.
Information on PhD Theses
The subjects of PhD Theses are centered around the research activities of my working group. The scientific and computational level will of course be higher than in a Bachelor or Master Thesis. You bring along experience in theoretical particle physics. A Master Thesis in experimental particle physics does not preclude a possible PhD thesis in my working group, however, and has to be discussed on a case by case basis. We have several possibilites to fund a PhD thesis, as listed here:
If you are interested in a PhD thesis please visit these web pages and in parallel contact me directly.
For specific Bachelor or Master subjects, the possibility of a PhD thesis in my working group or additional information please contact me directly, preferably via email (milada.muehlleitner@kit.edu) or by phone (0721 608-46366). We can then meet to talk in person.






